欢迎访问 外汇EA下载与MT4/MT5自动交易资源 - 聚合外汇EA、黄金EA、量化交易工具与自动化交易实战内容。
登录 注册

皮尔逊相关指标 - MetaTrader 5脚本

author emer | 467 人阅读 | 0 人评论 |

Pearson correlation indicator - indicator for MetaTrader 5

Pearson correlation indicator - indicator for MetaTrader 5

Pearson correlation indicator - indicator for MetaTrader 5

Pearson correlation indicator - indicator for MetaTrader 5

Pearson correlation indicator - indicator for MetaTrader 5

Pearson correlation indicator - indicator for MetaTrader 5

Pearson correlation indicator - indicator for MetaTrader 5

Pearson correlation indicator - indicator for MetaTrader 5

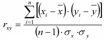
皮尔逊相关指标显示了符号之间的相关性。

输入参数:

Pearson correlation indicator - indicator for MetaTrader 5

Pearson correlation indicator - indicator for MetaTrader 5


附件下载

📎 correlation.mq5 (7.6 KB)

Source: MQL5 #897

🔐
请登录后参与评论
注册满12小时后评论,即可解锁附件下载
立即登录