UpDownBars - MetaTrader 4脚本





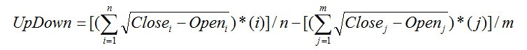
该指标计算上涨柱(收盘-开盘)和下跌柱(开盘-收盘)。
n = 上涨柱(收盘>开盘,第一根柱=1,最后一根柱=n)
m = 下行柱线(收盘价<开盘价)
我的观点是,振荡指标 - 用它来过滤入场,当 UpDownBars 高于 0 时,仅做空;当 UpDownBars 低于 0 时,仅做多。

附件下载
📎 updownbars.mq4 (2.94 KB)
Source: MQL5 #10559
💡 精彩内容推荐
✍️ 楼主最新发布
- •
- •
- •
- •
- •
- •
🔗 您可能感兴趣
- •
- •
- •
- •
- •
- •
🔐
请登录后参与评论
注册满12小时后评论,即可解锁附件下载
立即登录
