线性回归 - MetaTrader 5脚本






线性回归尝试通过拟合线性模型来建模两个变量之间的关系
观测数据的方程。 一个变量被认为是解释变量,并且
other 被视为因变量。 例如,建模者可能想要关联
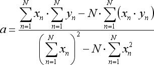
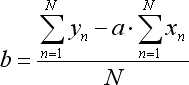
使用线性回归模型计算个体的体重与其身高的关系。等式如下:

其中 x 是柱数,y 是价格。
上述方程的比率计算如下:


有很多很好的实现(其中一些在这里以非常好的方式进行了解释:3 以线性回归为例的指标加速方法但有一些问题需要解决(主要是某些方法不适合在代码内数据上使用......)。
这是“另一种”方法,它与“到最后一个字母”方法一样产生精确的结果(没有近似值),可以用于任意数据并且速度很快(它甚至比使用内置函数加速计算的方法更快)。执行时间不依赖于计算周期(非常大的周期比短周期的计算慢可以忽略不计),这使得它适合用于各种过滤/计算/平滑...
您可以使用颜色变化作为信号

附件下载
📎 linear_regression.mq5 (9.5 KB)
Source: MQL5 #23045
💡 精彩内容推荐
✍️ 楼主最新发布
- •
- •
- •
- •
- •
- •
🔗 您可能感兴趣
- •
- •
- •
- •
- •
- •
🔐
请登录后参与评论
注册满12小时后评论,即可解锁附件下载
立即登录
