历史波动率 - 帕金森 - MetaTrader 5脚本



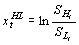
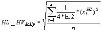
帕金森数(即高低范围波动率)由物理学家迈克尔·帕金森 (Michael Parkinson) 在 1980 年提出,旨在使用任何特定时期的高点和低点来估计随机游走的回报波动率。 IVolatility.com 计算每日帕金森值。以固定时间间隔观察价格:n = 10、20、30、60、90、120、150、180 天。
帕金森病数的一个重要用途是评估当天的分销价格以及更好地了解市场动态。比较帕金森病数和定期采样的波动率有助于交易者了解市场均值回归的趋势以及止损的分布。

附件下载
📎 historical_volatility_-_parkinson.mq5 (5.3 KB)
Source: MQL5 #21072
💡 精彩内容推荐
✍️ 楼主最新发布
- •
- •
- •
- •
- •
- •
🔗 您可能感兴趣
- •
- •
- •
- •
- •
- •
🔐
请登录后参与评论
注册满12小时后评论,即可解锁附件下载
立即登录
