欢迎访问
外汇EA下载与MT4/MT5自动交易资源 - 聚合外汇EA、黄金EA、量化交易工具与自动化交易实战内容。
🌐
中文
▾
🇨🇳 中文
🇺🇸 English
🇯🇵 日本語
🇰🇷 한국어
🇻🇳 Tiếng Việt
🇹🇭 ไทย
🇲🇾 Malay
🇷🇺 Русский
🇪🇸 Español
🇸🇦 العربية
登录
注册
Ai编程
登录
首页
OpenClaw
AI量化
更多
EA源码
电脑福利
GitHub EA
TradingFinder
MQL5 CodeBase
SMC交易teaching
misssoon
29
评论
2k
阅读
编程模式 - 装饰器 - MetaTrader 5 脚本
MQL5 CodeBase
MT5
emer
2026-3-20 14:56
9
评论
644
阅读
编程模式 - 策略 - MetaTrader 5 脚本
MQL5 CodeBase
MT5
emer
2026-3-20 14:56
32
评论
1k
阅读
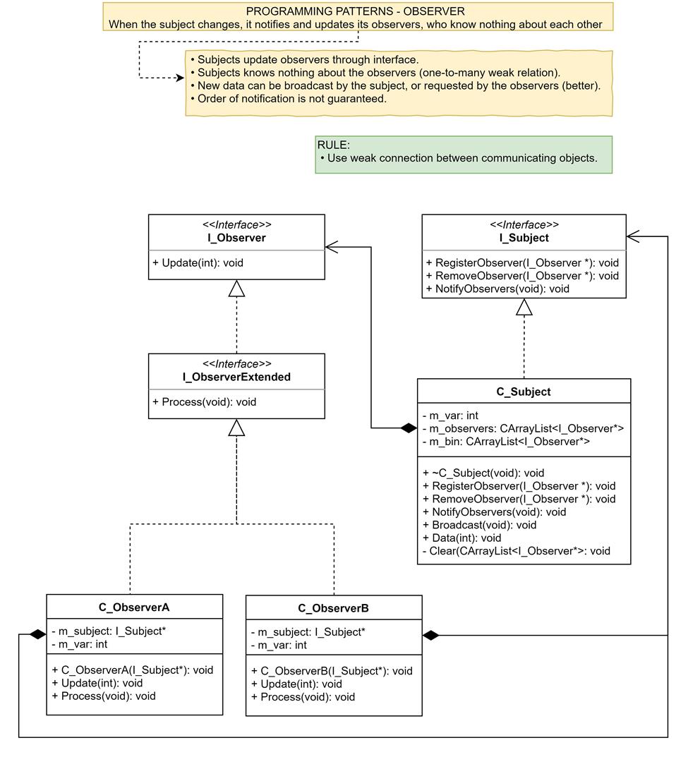
编程模式 - 观察者 - MetaTrader 5 脚本
MQL5 CodeBase
MT5
emer
2026-3-20 14:56
11
评论
407
阅读
编程模式 - 抽象工厂 - MetaTrader 5 脚本
MQL5 CodeBase
MT5
emer
2026-3-20 14:55
48
评论
725
阅读
编程模式 - 工厂方法 - MetaTrader 5 脚本
MQL5 CodeBase
MT5
emer
2026-3-20 14:55
34
评论
2k
阅读
编程模式 - Builder(经典) - MetaTrader 5 脚本
MQL5 CodeBase
MQL5 CodeBase
emer
2026-3-20 14:55
26
评论
3k
阅读
编程模式 - 复合 - MetaTrader 5 库
MQL5 CodeBase
MT5
emer
2026-3-20 14:13
7
评论
2k
阅读
编程模式 - Facade - MetaTrader 5 库
MQL5 CodeBase
MT5
emer
2026-3-20 14:12
emer
最新评论
1
1
@ffnH10Fb:https://gi...
安装不了,请问提示:npm instal...
链接
搜索